
近日,遥感领域国际权威期刊《Remote Sensing of Environment》(RSE)发表了吕翠仙教授研究团队的最新研究成果,论文题目为“In-situ and triple collocation-based evaluations of Tianmu-1 global soil moisture products”。我院博士研究生王庆云为论文第一作者,吕翠仙教授为通讯作者。参与本研究的还有郑玉新研究员,博士生王卓、李佳峰,硕士研究生谭旖旎。
土壤湿度是陆气相互作用和水循环的关键参数,对农业、洪涝和干旱监测具有重要意义。星载GNSS反射测量(GNSS-R)结合了GNSS的全天候性能和低轨星座的密集采样特性,成为地球观测技术的新焦点,在土壤湿度反演、海啸检测等方面潜力巨大。但早期的TDS-1受预算限制数据获取性能不佳,CYGNSS虽应用广泛却因轨道倾角限制覆盖范围。我国的天目一号(TM-1)是中国首个商业化模式建设的低轨气象卫星星座,支持多系统GNSS信号(GPS、BDS、GAL、GLO),具有全球覆盖和高时空分辨率潜力,其多GNSS兼容性、短重访周期等优势为全球土壤水分监测提供了新可能。
本研究利用国际土壤湿度网络(ISMN)的全球地面观测数据,对TM-1土壤湿度产品进行了系统验证,并与SMAP、ESA CCI和GLDAS Noah等主流产品进行了对比分析。验证结果显示,TM-1产品整体表现优异,其全球平均相关系数达到0.62,无偏均方根误差(ubRMSE)为0.050 m³/m³,精度接近当前基准SMAP产品(R=0.69,ubRMSE=0.042 m³/m³)。

图1. TM-1、SMAP、ESA CCI Active/Combined和GLDAS Noah的原位验证结果
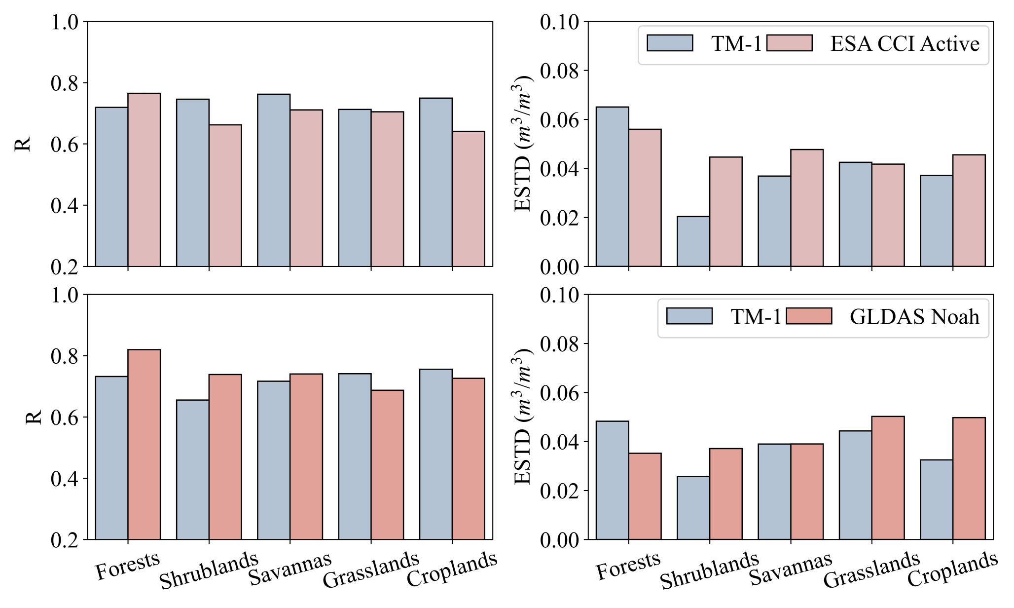
为克服传统验证方法中存在的空间尺度不匹配问题,研究采用Triple Collocation方法对TM-1土壤湿度产品进行了评估。通过构建两组Triplets(TM-1/ESA CCI Active/ISMN和TM-1/GLDAS Noah/ISMN),获得了更可靠的评估结果。在草地和农田等轻植被区域,TM-1与"真实值"的一致性最好;而在森林区域,其表现相对较弱,这主要归因于植被冠层对信号的衰减作用以及校准过程中使用的低质量SMAP数据。这些发现为TM-1产品在不同生态系统中的应用提供了重要参考,同时也指明了未来算法改进的方向,特别是在密集植被区的信号校正方面。

图2. TM-1和ESA CCI Active、TM-1和GLDAS Noah的不同地类的Triple Collocation验证结果
《Remote Sensing of Environment》是遥感领域国际权威期刊,最新影响因子11.4,为中国科学院一区Top期刊。
论文链接:https://doi.org/10.1016/j.rse.2025.114892
图文:王庆云 吕翠仙
审核:金涛勇 胡俊英